PCB Symmetrical Stripline Impedance Calculator
The symmetrical stripline is a reliable method for creating transmission lines. Stripline is a transverse electromagnetic (TEM) transmission line. Modeling approximations can be used to design microstrip lines. By understanding stripline transmission lines, designers can properly build these structures to meet their needs.
A stripline is constructed with a flat conductor suspended between two ground planes. The conductor and ground planes are separated by a dielectric. One advantage of the stripline is that there is an improve isolation between adjacent traces when compared with the microstrip.
Stripline Transmission Line Models
As for a microstrip transmission line, the impedance Z0 of a stripline depends on the ratio of the conductor width and the separation between signal and ground planes. In case of a symmetric stripline, Z0,SS can be computed according to the formulas contained in the document IPC-2141A [1], in particular paragraph 4.2.4.
The characteristic impedance computation can be broken down into two cases, one for a narrow signal conductor and one for a wide signal conductor.
For the narrow signal conductor, that is for w/b < 0.35, the appropriate formula for the characteristic impedance, Z 0,SS, is:
Eq. 1
where: b = 2h + t
and:
Eq. 2
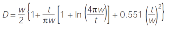
For the wide signal conductor, that is for w/b ≥0.35, the appropriate formula for the characteristic impedance, Z0,SS, is:
Eq. 3
where:
Eq. 4
